東北地理所在人工濕地低溫運行研究方面取得進展
環境溫度是影響人工濕地凈化效能的重要因素之一。我國東北地區氣候寒冷,特別是自秋季環境溫度下降以后,人工濕地植物和微生物均會受到一定的影響,進而影響人工濕地的凈化效能。量化不同環境溫度對不同植被和基質配置人工濕地凈化效能的影響、揭示其驅動機制、研發提高人工濕地在低溫條件下運行效能的強化措施,是推動人工濕地在北方寒區廣泛應用的重要前提。
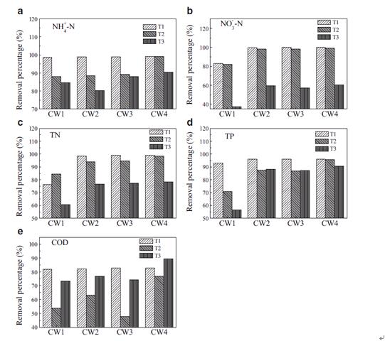
東北地理所水環境污染與防治學科組針對人工濕地低溫運行問題開展了一系列研究工作。研究發現以爐渣或礫石為基質的人工濕地對氨氮、硝氮、總氮、總磷和COD的去除率均隨著環境溫度的下降而下降,特別是當平均環境溫度下降至10℃以下(實驗中平均溫度8.9℃)時,人工濕地對硝氮的去除能力影響最為明顯,其去除率與25.5℃時相比較最高下降了39%,對總磷的去除率最高也下降了30%左右。
溫度變化除了對人工濕地凈化效能產生影響以外,還對人工濕地植物根際土壤酶活性和土壤微生物群落結構產生影響。整體而言,人工濕地植物根際土壤脲酶活性隨環境溫度的下降而下降,蔗糖酶隨溫度的下降而升高。當平均環境溫度由25.5℃下降至19.8℃時,人工濕地植物根際微生物量增加,而當溫度繼續下降至8.9℃時,微生物量降低,但微生物豐度隨環境溫度的變化不大。
通過對濕地植被和基質進行優化可以有效提高人工濕地在低溫環境下的凈化效能,進而延長人工濕地在深秋和初冬季節的有效運行時間。在植被方面,將兩種植物(實驗中為美人蕉和千屈菜)混合種植可以有效提高人工濕地的凈化效能,與種植單一植物的人工濕地相比較,可以將總氮和總磷的去除率分別提高5%和10%左右;在基質優化方面,通過添加一定比例的鐵碳微電解材料,可以有效提高人工濕地對總磷的去除效果,即使當環境溫度下降至10℃以下(8.9℃),人工濕地對總磷的去除率仍然能達到96%以上。
上述研究成果分別發表在 Water Air & Soil Pollution, International Journal of Phytoremediation, 和Water Science and Technology等國際期刊上,東北地理所祝惠副研究員為論文第一或通訊作者,相關工作得到了國家重點研發計劃項目(2016YFC0500404-4)、研究所“一三五”規劃培育三項目以及中國科學院青年創新促進會項目(2017274)資助。

圖1栽種不同植物的水平潛流人工濕地在不同環境溫度下的凈化效果(CW1:無植物對照; CW2:美人蕉;CW3:千屈菜;CW4:美人蕉與千屈菜混種)
論文信息:
1、Qingwei Zhou, Hui Zhu*,Gary Banuelos, Baixing Yan, Yinxiu Liang, Xiangfei Yu, Xianwei Cheng, Lijiang Chen. Effects of vegetation and temperature on nutrient removal and microbiology in horizontal subsurface flow constructed wetlands for treatment of domestic sewage. Water Air Soil Pollut. 2017, 228:95. 論文鏈接:https://link.springer.com/article/10.1007/s11270-017-3280-1
2、Qingwei Zhou, Hui Zhu*, Gary Banuelos, Baixing Yan, Yinxiu Liang, Jing Yu, Huai Li. Impacts of vegetation and temperature on the treatment of domestic sewage in constructed wetlands incorporated with Ferric-Carbon Micro-Electrolysis material. International Journal of Phytoremediation. 2017, 19(10):915-924. 論文鏈接:http://www.tandfonline.com/doi/abs/10.1080/15226514.2017.1303811
3、Hui Zhu, Qingwei Zhou, Baixing Yan*, Yinxiu Liang, Xiangfei Yu, Yoram Gerchman, Xianwei Cheng. Influence of vegetation type and temperature on the performance of constructed wetlands for nutrient removal. Water Science and Technology. 2017. DOI: 10.2166/wst.2017.556. 論文鏈接:http://wst.iwaponline.com/content/early/2017/11/23/ws t.2017.556
附件下載:
吉公網安備22017302000214號