東北地理所在水稻矮化優良等位基因挖掘及抗倒伏分子育種應用方面取得新進展
20世紀60年代末,以矮化育種為目標的綠色革命實現了我國水稻產量的第一次飛躍。綠色革命基因sd1已在秈稻現代育種中得到廣泛應用,尤其是功能缺失型等位基因(sd1-d,sd1-AJNT和sd1-9311)。粳稻在長期進化過程中經過人工馴化,一種弱功能型等位基因SD1-EQ在極大部分粳稻中被保留下來。然而,近年來受氣候條件變化、直播稻普及以及高產育種策略的影響,人們對粳稻品種的抗倒伏性能提出更高的要求。粳稻中是否還利用了其他的SD1等位基因?南方秈稻功能缺失型sd1等位基因是否可以在東北粳稻育種中加以利用?這是當前粳稻抗倒伏育種中需要考慮的重要問題。
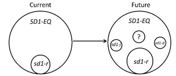
近日,中國科學院東北地理與農業生態研究所方軍研究員團隊在The Crop Journal在線發表了題為“Elite sd1 alleles in japonica rice and their breeding applications in northeast China”的研究論文。通過數據庫挖掘、文獻追蹤、系譜分析以及分子標記驗證等手段對粳稻中sd1的優異單倍型及相應的種質資源進行了分析,明確了除SD1-EQ外,sd1-r主要分布在中國北方和日本東北地區粳稻材料中,而sd1-j也在中國華東地區和日本九州的部分粳稻品種中存在。通過分析其衍生后代,發現“東農”和“秀水”系列品種分別是粳稻骨干親本秋光和測21的重要分支,二者分別攜帶sd1-r和sd1-j等位基因。這說明sd1-r和sd1-j在當前粳稻育種中得到有效利用,可以用來改良大部分SD1-EQ型水稻品種,提高粳稻的抗倒性。其中攜帶sd1-r等位基因的東北粳稻材料有東農系列品種(東農419、東農423、東農427、東農糯418、東農9006),龍稻10、龍稻21、牡丹江21以及吉粳101,值得注意的是衍生自東農423的東農427和龍稻21在生產上表現出極好的抗倒伏性。進一步利用分子輔助選擇,將sd1-d導入稻花香2號(DHX2),并獲得了攜帶sd1-d的矮桿和半矮桿株系(1279和1280),預計這兩個品系將成為未來遺傳研究和育種的重要中間材料;同時由于sd1-d是功能缺失型,也意味著可以利用基因編輯技術快速創制其他不同類型缺失型sd1加以利用。這項工作將有助于引種,親本選擇,分子標記輔助選擇育種,并為下一步挖掘粳稻骨干親本中與sd1共同選擇的有利基因提供材料基礎。

圖1 新創制的矮桿、半矮桿材料的表型和sd1-d等位基因的分子鑒定

圖2 sd1等位基因在未來東北粳稻育種中的應用模型
東北地理所沙漢景博士后和東北農業大學劉化龍副研究員為論文共同第一作者,東北地理所方軍研究員為論文的通信作者。東北農業大學鄒德堂教授和黑龍江省農業科學院綏化分院聶守軍研究員也參與了該項工作。本研究得到了中科院A類先導專項(XDA24020301),國家自然科學青年基金(31900423),黑龍江省杰出青年基金(JC2017009)以及黑龍江省水稻現代農業產業技術協同創新推廣體系的資助。
文章鏈接:https://www.sciencedirect.com/science/article/pii/S2214514121001100
附件下載:
吉公網安備22017302000214號