東北地理所在綿羊胃腸道線蟲感染與宿主消化代謝方面取得研究進展
胃腸道線蟲(Gastrointestinal nematodes,GINs)已被證實是降低肉羊生長性能、引發羊寄生蟲病、降低羊肉品質的重要致病性內寄生蟲。其中,捻轉血矛線蟲(Haemonchus contortus)是一種寄生于反芻動物皺胃和小腸的吸血性線蟲,它會導致宿主羊出現消化紊亂、胃腸道發炎、腹瀉、消瘦以及貧血等不良反應。已有研究表明,羔羊感染GINs后日糧蛋白質消化利用率顯著降低。然而,GINs感染下羊胃腸道微生物菌群變化與消化代謝改變之間的復雜關系尚不清晰,有待進一步研究。
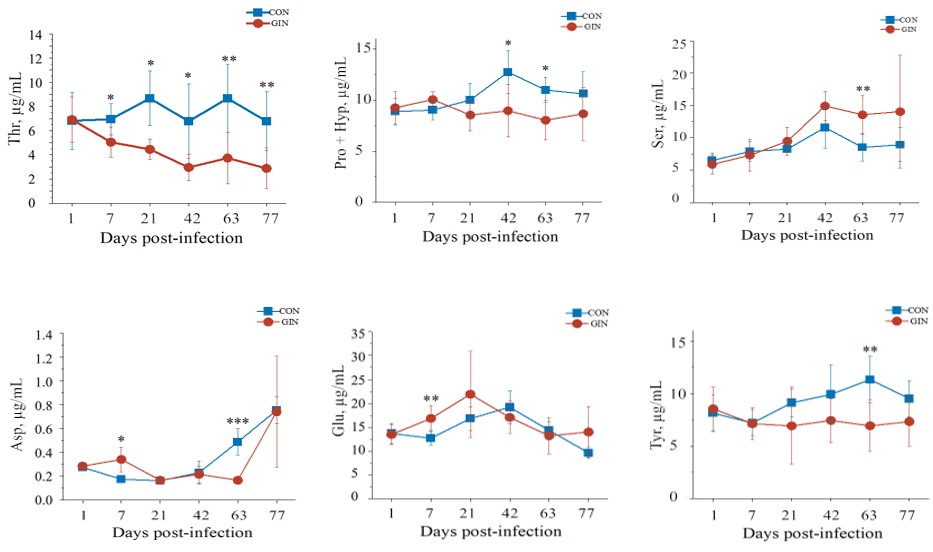
為此,中國科學院東北地理與農業生態研究所草地農牧業學科組成員研究了H. contortus感染對宿主羔羊蛋白質消化、氨基酸代謝、胃腸道微生物組成的影響。研究發現:H. contoutus 感染降低了羔羊采食量和日糧營養物質的表觀消化率(尤其是日糧中蛋白質和脂質的表觀消化率),并降低了羔羊的生長性能。羔羊蛋白質吸收受到影響,瘤胃胃蛋白酶和回腸胰蛋白酶活性顯著降低,血漿氨基酸譜變化顯著。例如,宿主羔羊血漿中蘇氨酸和脯氨酸濃度顯著下降,血漿中天冬氨酸、谷氨酸、絲氨酸和酪氨酸濃度顯著增加,從而彌補由于H. contortus 定植、發育和繁殖造成的宿主羊蛋白質和氨基酸損失(圖1)。感染H. contortus的羔羊的生理代謝和血液生化指標的改變與胃腸道微生物群落組成密切相關。與未感染羊相比,感染羊胃腸道中與碳水化合物、蛋白水解相關的菌屬豐度顯著增加,例如Firmicutes、Ruminococcoceae、Lactobacillaceae、Lactobacillus以及Prevotella等(圖2), 并且羔羊胃腸道中與蛋白質、碳水化合物以及脂肪等營養物質代謝相關的KEGG通路均顯著增加(表1)。本研究結果為系統解析GINs感染和寄生與宿主羊營養代謝的關系提供了理論依據。
以上研究結果發表在國際期刊Frontiers in Microbiology上。博士研究生向海為論文的第一作者,鐘榮珍研究員為通訊作者。本研究得到了國家自然科學基金面上項目(31972595)、中國科學院A類戰略先導專項(XDA26040305)、吉林省科技發展計劃(20200201140JC、20200602016ZP)以及中國科學院青年創新促進會優秀會員(Y201949)等項目的聯合資助。
圖1 Haemonchus contortus感染對宿主羔羊血漿氨基酸濃度的影響(部分)

圖2 Haemonchus contortus感染后宿主羔羊變化顯著的菌屬種類(部分)

表1 Haemonchus contortus感染后宿主羔羊胃腸道微生物KEGG通路的改變
論文信息如下:Hai Xiang, Yi Fang, Zhiliang Tan and Rongzhen Zhong*. 2022. Haemonchus contortus infection alters gastrointestinal microbial community composition, protein digestion and amino acid allocations in lambs. Frontiers in Microbiology, 12, 797746. https://doi.org/10.3389/fmicb.2021.797746.
附件下載:
吉公網安備22017302000214號