東北地理所在大氣CO2濃度和溫度升高對黑土區水稻氮吸收以及根際氮礦化研究方面取得進展
大氣CO2濃度和溫度升高是未來氣候變化最主要的特征。氮素作為水稻生長發育過程中必需的營養元素之一,對產量形成至關重要。然而,在大氣CO2濃度和溫度升高條件下,有關黑土區水稻對不同來源(土壤和肥料)氮素的吸收及其與產量變化關系的研究較少,CO2和溫度雙升高如何影響水稻根際土壤氮礦化和相關微生物作用機制也仍不清楚。
東北地理所農田分子生態學科組科研人員選用東北地區主栽水稻品種五優稻1號譜系中不同年代培育的5個水稻品種為試驗材料,利用OTC模擬CO2升高(700 ppm)和升溫(比環境氣溫高2℃)條件,采用15N標記技術示蹤水稻吸收來源于肥料的氮素,以解析氣候變化條件下水稻氮源與產量的關系;采用根箱試驗和15N-13C雙標技術,探究了大氣CO2和溫度升高對水稻根際氮礦化和相關功能基因豐度的影響。結果發現:在不施氮條件下,大氣CO2和溫度升高使5個品種水稻的平均產量和氮吸收分別增加28.4%和25.2%;在施氮條件下,水稻平均產量和氮吸收分別增加23.0%和15.3%(圖1,圖2)。氣候變化條件下,水稻增加的氮吸收主要來自土壤,并且與水稻增產量呈顯著正相關關系(圖3);而肥料氮的吸收量未發生顯著變化。研究還發現,氮肥施用促進水稻對土壤氮素的吸收,而水稻品種改良并沒有改變水稻氮素吸收對氣候變化的響應。這表明氣候變化條件下會加快黑土區水稻土壤氮庫的消耗。因此,培育高氮肥料利用率的水稻品種可能是未來黑土區水稻生產應對氣候變化的有效策略。

圖1 大氣CO2濃度和溫度升高條件下5個品種水稻的生物量(A)和產量(B)

圖2 大氣CO2濃度和溫度升高條件下,5個品種水稻的總氮吸收以及來源土壤和肥料的氮吸收

圖3 大氣CO2濃度和溫度升高條件下,氮吸收增加量與產量增加的相關性
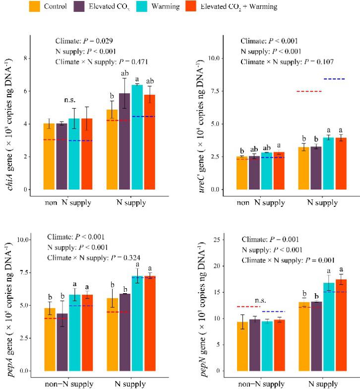
在氮礦化研究方面,發現大氣CO2和溫度升高顯著提高了水稻的氮吸收量和氮礦化量,但并沒有顯著提高氮礦化效率(圖4);大氣CO2和溫度共同升高使得水稻根際土壤微生物量碳(MBC)和微生物量碳(MBN)均顯著升高,同時也顯著增加了根際土壤氮礦化基因chiA、pepA、pepN和尿素水解基因ureC的豐度(圖5)。表明大氣CO2和溫度的共同升高促進了水稻根際微生物介導的土壤氮礦化過程,可能會增加土壤有機質分解的風險。

圖4 大氣CO2和溫度升高條件下水稻土壤氮礦化量和氮礦化效率

圖5 大氣CO2和溫度升高條件下chiA、ureC、pepA和pepN基因的豐度
上述研究成果近期發表在一區TOP期刊Agricultural and Forest Meteorology和Biology and Fertility of Soils上,東北地理所博士研究生張錦源為論文的第一作者,于鎮華副研究員和金劍研究員為通訊作者。研究得到了黑龍江省自然科學基金重點研發項目(ZD2021D001),國家自然科學基金(42177435),中國科學院戰略先導項目(XDA28020201)和中國科學院青年創新促進會(2019233)等項目聯合資助。
論文信息:
Jinyuan Zhang, Yansheng Li, Zhenhua Yu*, Jonathan Adams, Caixian Tang, Guanghua Wang, Xiaobing Liu, Junjie Liu, Ashley Franks, Judong Liu, Shaoqing Zhang, Jian Jin*. (2022). Elevated atmospheric CO2 and warming enhance the acquisition of soil-derived nitrogen rather than urea fertilizer by rice cultivars. Agricultural and Forest Meteorology. 324, 109117.
Jinyuan Zhang, Zhenhua Yu, Yansheng Li, Guanghua Wang, Xiaobing Liu, Caixian Tang, Jonathan Adams, Junjie Liu, Judong Liu, Shaoqing Zhang, Junjiang Wu, Jian Jin*. (2022). Co–elevation of CO2 and temperature enhances nitrogen mineralization in the rhizosphere of rice. Biology and Fertility of Soils.
論文鏈接:
https://doi.org/10.1016/j.agrformet.2022.109117
https://link.springer.com/article/10.1007/s00374-022-01667-4
附件下載:
吉公網安備22017302000214號