東北地理所在氣候變化增強了氮形態對浮游植物優勢種演替的驅動作用取得新進展
營養鹽濃度及比例、光照強度和溫度是影響浮游植物優勢種演替的主要因素。盡管有這些見解,但高渾濁湖泊中優勢種演替機制仍然是一個問題,尤其是如何應對氣候變化的響應。
為了進一步揭示泊浮游植物演替的內在機制及其對氣候變化的響應,中國科學院東北地理與農業生態研究所水文與水資源學科組研究人員基于近十年(2012-2022)查干湖浮游植物生物量和藻密度數據進行了優勢種演替分析;并利用結構方程模型和湖泊水動力-水質-藻華綜合模型解析浮游植物優勢種演替的內在機制;最后,模擬不同氣候變化情景下各類型浮游植物生物量的演變趨勢。
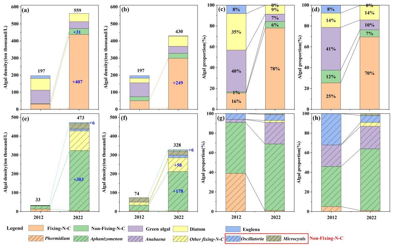
結果表明:2012-2022年,查干湖浮游植物優勢種從硅藻轉變為藍藻(圖1)。基于結構方程模型解析了這一演替的主要環境變量包括水溫、總氮(TN)、總磷(TP)和氨氮(NH4-N)以及總懸浮顆粒物(TSS)。為了進一步探索浮游植物演替的驅動機制及其對氣候變化的響應,我們構建了一個綜合的水動力-水質-藻華綜合模型來模擬多環境因子作用下各類型浮游植物生物量的演變(圖2)。發現了營養物質的不同比例決定了浮游植物優勢物種的演替。在渾濁水體中,高NH4-N:NO3-N比值有利于藍藻生長,抑制硅藻生存。此外,硅藻(30.77%vs22.28%)和綠藻(30.56%vs23.30%)的生物量比例急劇下降。相比之下,隨著NH4-N:NO3-N比值的增加,藍藻豐度顯著增加(35.78%-51.71%)。此外,當TN:TP≥20和NH4-N:NO3-N≥10時,非固氮藍藻生物量占比高于固氮藍藻。值得注意的是,在SSP585情景下,氣溫上升3.0℃時,藍藻生物量達到基線情景的3-6倍。我們強調了氮形態對浮游植物優勢種演替的影響,氣候變暖將增強氮形態對優勢種轉變的驅動作用(圖3),為控制藍藻水華提供了科學依據。

圖1?查干湖2012-2022年退水期和非退水期浮游植物密度和物種比例的動態變化。(a)和(b)表示有和沒有退水時藻類密度的變化;(c)和(d)表示有和沒有退水時藻類比例的變化

圖2?湖泊水動力-水質-水華綜合模型概念圖

圖3 氣候變化增強了氮形態對浮游植物優勢種演替的驅動作用
該研究發表在國際期刊Water Research上,中國科學院東北地理與農業生態研究所劉雪梅助理研究員為第一作者,章光新研究員為通訊作者。該研究得到了中國科學院戰略性先導科技專項課題(XDA28020500)、國家基金委(U23A2008、42207088和42101051)等的共同資助。
論文信息:Liu, X., Zhang, J., Wu, Y., Yu, Y., Sun, J., Mao, D., Zhang*, G. Intensified effect of nitrogen forms on dominant phytoplankton species succession by climate change. Water Research, 2024, 264(6): 122214.
論文鏈接:https://doi.org/10.1016/j.watres.2024.122214
附件下載:
吉公網安備22017302000214號